The learner will evaluate formulas.

Evaluating Formulas

Find the value of this formula when x=3 and y=6.

Question Image
Question 1 of 10

Evaluating Formulas

Correct!

Find the value of this formula when x=3 and y=6.

question image

Correct Answer

T = 45

 Next Question
Question 1 of 10

Evaluating Formulas

Incorrect

Find the value of this formula when x=3 and y=6.

question image

Your Answer

Correct Answer

T = 45

 Next Question
Question 1 of 10

Evaluating Formulas

Find the value of this formula when x=3 and z=-5.

Question Image
Question 1 of 10

Evaluating Formulas

Correct!

Find the value of this formula when x=3 and z=-5.

question image

Correct Answer

K = -19

 Next Question
Question 1 of 10

Evaluating Formulas

Incorrect

Find the value of this formula when x=3 and z=-5.

question image

Your Answer

Correct Answer

K = -19

 Next Question
Question 1 of 10

Evaluating Formulas

Find the value of this formula when x=4 and y=2.

Question Image
Question 1 of 10

Evaluating Formulas

Correct!

Find the value of this formula when x=4 and y=2.

question image

Correct Answer

F = 37

 Next Question
Question 1 of 10

Evaluating Formulas

Incorrect

Find the value of this formula when x=4 and y=2.

question image

Your Answer

Correct Answer

F = 37

 Next Question
Question 1 of 10

Evaluating Formulas

Find the value of this formula when x=9, y=4, and R=6.

Question Image
Question 1 of 10

Evaluating Formulas

Correct!

Find the value of this formula when x=9, y=4, and R=6.

question image

Correct Answer

L = 9

 Next Question
Question 1 of 10

Evaluating Formulas

Incorrect

Find the value of this formula when x=9, y=4, and R=6.

question image

Your Answer

Correct Answer

L = 9

 Next Question
Question 1 of 10

Evaluating Formulas

Find the value of this formula when x=5 and y=6.

Question Image
Question 1 of 10

Evaluating Formulas

Correct!

Find the value of this formula when x=5 and y=6.

question image

Correct Answer

A = 54

 Next Question
Question 1 of 10

Evaluating Formulas

Incorrect

Find the value of this formula when x=5 and y=6.

question image

Your Answer

Correct Answer

A = 54

 Next Question
Question 1 of 10

Evaluating Formulas

Find the value of this formula when p=400, r=0.11, and t=2.

Question Image
Question 1 of 10

Evaluating Formulas

Correct!

Find the value of this formula when p=400, r=0.11, and t=2.

question image

Correct Answer

I = 88

 Next Question
Question 1 of 10

Evaluating Formulas

Incorrect

Find the value of this formula when p=400, r=0.11, and t=2.

question image

Your Answer

Correct Answer

I = 88

 Next Question
Question 1 of 10

Evaluating Formulas

Find the value of this formula when A=3.26, B=7.13, and H=4.6.

Question Image
Question 1 of 10

Evaluating Formulas

Correct!

Find the value of this formula when A=3.26, B=7.13, and H=4.6.

question image

Correct Answer

T = 11.9485

 Next Question
Question 1 of 10

Evaluating Formulas

Incorrect

Find the value of this formula when A=3.26, B=7.13, and H=4.6.

question image

Your Answer

Correct Answer

T = 11.9485

 Next Question
Question 1 of 10

Evaluating Formulas

Find the value of this formula when N=6, R=0.08, T=27, and V=4.

Question Image
Question 1 of 10

Evaluating Formulas

Correct!

Find the value of this formula when N=6, R=0.08, T=27, and V=4.

question image

Correct Answer

P = 36

 Next Question
Question 1 of 10

Evaluating Formulas

Incorrect

Find the value of this formula when N=6, R=0.08, T=27, and V=4.

question image

Your Answer

Correct Answer

P = 36

 Next Question
Question 1 of 10

Evaluating Formulas

Find the value of this formula when L=16.22, W=3.7, and H=2.4.

Question Image
Question 1 of 10

Evaluating Formulas

Correct!

Find the value of this formula when L=16.22, W=3.7, and H=2.4.

question image

Correct Answer

V = 144.0336

 Next Question
Question 1 of 10

Evaluating Formulas

Incorrect

Find the value of this formula when L=16.22, W=3.7, and H=2.4.

question image

Your Answer

Correct Answer

V = 144.0336

 Next Question
Question 1 of 10

Evaluating Formulas

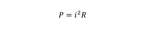
Find the value of this formula when i=0.5 and R=160.

Question Image
Question 1 of 10

Evaluating Formulas

Correct!

Find the value of this formula when i=0.5 and R=160.

question image

Correct Answer

P = 40

 Next Question
Question 1 of 10

Evaluating Formulas

Incorrect

Find the value of this formula when i=0.5 and R=160.

question image

Your Answer

Correct Answer

P = 40

 Next Question
Question 1 of 10

Evaluating Formulas

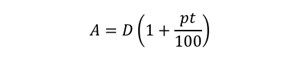
Find the value of this formula when D=995, p=6, and t=12.

Question Image
Question 1 of 10

Evaluating Formulas

Correct!

Find the value of this formula when D=995, p=6, and t=12.

question image

Correct Answer

A = 1711.4

 Next Question
Question 1 of 10

Evaluating Formulas

Incorrect

Find the value of this formula when D=995, p=6, and t=12.

question image

Your Answer

Correct Answer

A = 1711.4

 Next Question
Question 1 of 10

Evaluating Formulas

Find the value of this formula when x=3.25, y=16.875, and T=0.5

Question Image
Question 1 of 10

Evaluating Formulas

Correct!

Find the value of this formula when x=3.25, y=16.875, and T=0.5

question image

Correct Answer

L = 20.375

 Next Question
Question 1 of 10

Evaluating Formulas

Incorrect

Find the value of this formula when x=3.25, y=16.875, and T=0.5

question image

Your Answer

Correct Answer

L = 20.375

 Next Question
Question 1 of 10

Evaluating Formulas

Find the value of this formula when A=6, C=32, D=24, and B=1.08.

Question Image
Question 1 of 10

Evaluating Formulas

Correct!

Find the value of this formula when A=6, C=32, D=24, and B=1.08.

question image

Correct Answer

L = 6220.8

 Next Question
Question 1 of 10

Evaluating Formulas

Incorrect

Find the value of this formula when A=6, C=32, D=24, and B=1.08.

question image

Your Answer

Correct Answer

L = 6220.8

 Next Question
Question 1 of 10

Evaluating Formulas

Find the value of this formula when h=188.5 and a=63.

Question Image
Question 1 of 10

Evaluating Formulas

Correct!

Find the value of this formula when h=188.5 and a=63.

question image

Correct Answer

V = 1354.184

 Next Question
Question 1 of 10

Evaluating Formulas

Incorrect

Find the value of this formula when h=188.5 and a=63.

question image

Your Answer

Correct Answer

V = 1354.184

 Next Question
Question 1 of 10

Evaluating Formulas

Find the value of this formula when V=80.

Question Image
Question 1 of 10

Evaluating Formulas

Correct!

Find the value of this formula when V=80.

question image

Correct Answer

F = -11.52

 Finish
Question 1 of 10

Evaluating Formulas

Incorrect

Find the value of this formula when V=80.

question image

Your Answer

Correct Answer

F = -11.52

 Finish
Question 1 of 10
Evaluating Formulas

Score

You have answered 5 of 10 questions correctly.

50%

Start Over

See other flashcards and apps related to:

Question 1 of 10
Author
Published
3/24/2014
Last Updated
3/24/2014
Tags

No Comments Yet